なぜ3の0乗は1なのか?

 高校時代、数学の時間に「なぜかはわからんが、0乗は1となるということを覚えましょう」と先生に言われました。

当時は結果優先でしたからそのまま暗記しました。というように。きっとその先生も理由を知って

いらっしゃらなかったんでしょうね。ここではこれを証明します。案外簡単ですよ。



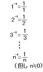
です。補足説明をすると、



です。納得できました?


トップページへ