球体の体積




中学生の時に学習した球体の体積の公式です。この公式を覚えるため

にゴロ合わせがあって「(3)の上に(4)配がある(r)」とかいうのを覚え

た記憶があります。球の体積は



とわかっている人は多くても、それがなぜか説明できる人は少ないと思

います。

まずxy座標上の円で考えます。図@です。半径がrで、中心は原点にあ

ります。この円を表す式は



です。ではこの円をどうやって球体にするかですが、この円をx軸を中

心にして回転させます。そうすると図Aのような球体ができますね。

ここから実際に球体の体積を求めるわけですが、まず図Bに注目で

す。円をx軸に関して回転させた球体を、y軸に平行にスパッと切りま

す。そうすると、その切り口はどこを切っても円の形をしていますよ

ね。ハムのような薄さの円をいくつも積み重ねることで、球体ができ

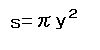
ます。この円の半径はyですから円の面積は



です。この円をrから(-r)の範囲まで積み重ねるわけですから、積分しま

す。積分を式で表すと



・・・T

です。



より



これをT式に代入して、



となります。

それにしても、もし中学生から「なぜ球体の体積の公式はああいうふう

になるんですか?」と聞かれたら、どう説明したらいいんでしょうか

ね。積分を知っている高校生ならいいんですがね。「将来の楽しみにと

っておきましょうね。」などど言って、その場を逃げるしかありません

ね(笑)。